全(quan)自動(dong)循環(huan)水應(ying)急供(gong)水泵(beng)組
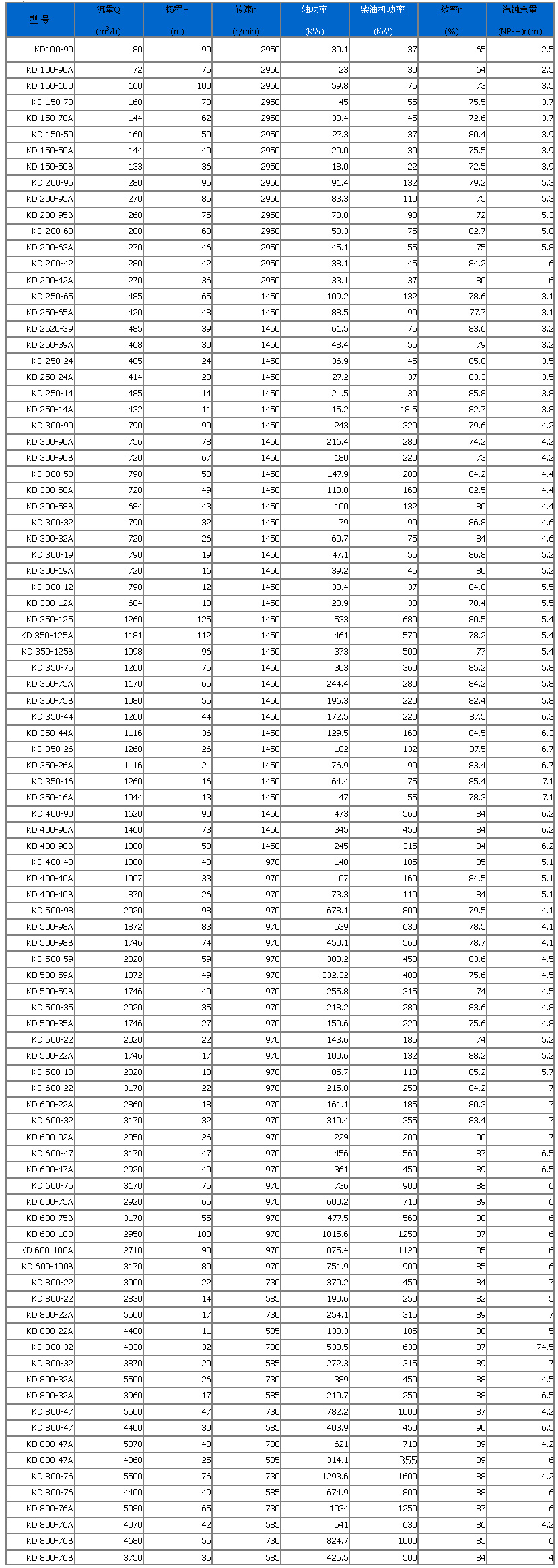
KD型(xing)柴油(you)機泵(beng)組全(quan)稱應(ying)急柴(chai)油機(ji)水泵(beng)機組(zu)可根(gen)據使(shi)用場(chang)所揚(yang)程、流(liu)量及(ji)輸送(song)液體(ti)的具(ju)體要(yao)求而(er)選定(ding),輸送(song)液體(ti)的流(liu)量範(fan)圍為(wei)10-870L/s,壓力(li)範圍(wei)為0.15-6MPa,柴(chai)油機(ji)轉速(su)範圍(wei)為1500-2900rpm。
柴(chai)油泵(beng)組常(chang)用于(yu)高層(ceng)建築(zhu)、自來(lai)水公(gong)司、鋼(gang)鐵廠(chang)、酒廠(chang)、化工(gong)廠、酒(jiu)店、醫(yi)院、等(deng)大型(xing)項目(mu)工程(cheng)應急(ji)供水(shui)。柴油(you)應急(ji)供水(shui)泵組(zu)适用(yong)于無(wu)人值(zhi)守應(ying)急給(gei)水系(xi)統,産(chan)品具(ju)有技(ji)術*、自(zi)動化(hua)程度(du)高、性(xing)能優(you)越保(bao)護功(gong)能齊(qi)全、結(jie)構合(he)理、安(an)裝簡(jian)易、性(xing)價比(bi)高等(deng)特點(dian),當工(gong)廠突(tu)然停(ting)電、柴(chai)油機(ji)應急(ji)供水(shui)泵組(zu)自動(dong)啟動(dong)補充(chong)管網(wang)壓力(li)。
KD型柴(chai)油機(ji)泵組(zu)全稱(cheng)應急(ji)柴油(you)機水(shui)泵機(ji)組可(ke)根據(ju)使用(yong)場所(suo)揚程(cheng)、流量(liang)及輸(shu)送液(ye)體的(de)具體(ti)要求(qiu)而選(xuan)定,輸(shu)送液(ye)體的(de)流量(liang)範圍(wei)為10-870L/s,壓(ya)力範(fan)圍為(wei)0.15-6MPa,柴油(you)機轉(zhuan)速範(fan)圍為(wei)1500-2900rpm。
柴油(you)泵組(zu)常用(yong)于高(gao)層建(jian)築、自(zi)來水(shui)公司(si)、鋼鐵(tie)廠、酒(jiu)廠、化(hua)工廠(chang)、酒店(dian)、醫院(yuan)、等大(da)型項(xiang)目工(gong)程應(ying)急供(gong)水。柴(chai)油應(ying)急供(gong)水泵(beng)組适(shi)用于(yu)無人(ren)值守(shou)應急(ji)給水(shui)系統(tong),産品(pin)具有(you)技術(shu)領先(xian)、自動(dong)化程(cheng)度高(gao)、性能(neng)優越(yue)保護(hu)功能(neng)齊全(quan)、結構(gou)合理(li)、安裝(zhuang)簡易(yi)、性價(jia)比高(gao)等特(te)點,當(dang)工廠(chang)突然(ran)停電(dian)、柴油(you)機應(ying)急供(gong)水泵(beng)組自(zi)動啟(qi)動補(bu)充管(guan)網壓(ya)力。
根(gen)據不(bu)同工(gong)況要(yao)求選(xuan)配:單(dan)級單(dan)吸離(li)心泵(beng)、高壓(ya)多級(ji)泵、雙(shuang)吸中(zhong)開泵(beng)等。
柴(chai)油機(ji)全自(zi)動控(kong)制櫃(gui):
1. 帶手(shou)動及(ji)全自(zi)動控(kong)制功(gong)能。當(dang)自啟(qi)動信(xin)号輸(shu)入或(huo)人工(gong)按下(xia)啟動(dong)按鍵(jian),控制(zhi)器便(bian)自動(dong)完成(cheng)自啟(qi)動、機(ji)組運(yun)行、故(gu)障停(ting)機保(bao)護等(deng)程序(xu)控制(zhi)和過(guo)程控(kong)制。
2. 自(zi)動監(jian)控功(gong)能。自(zi)動監(jian)控發(fa)動機(ji)在啟(qi)動、怠(dai)速、升(sheng)速、全(quan)速等(deng)過程(cheng)的速(su)度變(bian)化,自(zi)動完(wan)成啟(qi)動電(dian)機的(de)投入(ru)與撤(che)出、轉(zhuan)速過(guo)高與(yu)過低(di)的超(chao)限停(ting)機、速(su)度正(zheng)常後(hou)輸出(chu)運行(hang)(合閘(zha))信号(hao)等。柴(chai)油機(ji)運行(hang)狀态(tai)顯示(shi)功能(neng)。根據(ju)系統(tong)現時(shi)運行(hang)狀況(kuang),由指(zhi)示燈(deng)或顯(xian)示屏(ping)指示(shi)設備(bei)當前(qian)所處(chu)的狀(zhuang)态,包(bao)括:待(dai)機、開(kai)機、供(gong)油、自(zi)啟動(dong)、轉速(su)顯示(shi)、怠速(su)延時(shi)、正常(chang)運行(hang)、冷卻(que)停機(ji)、緊急(ji)停機(ji)等。



NL型(xing)泥漿(jiang)泵

YZ型(xing)液下(xia)渣漿(jiang)泵

HYF耐(nai)高溫(wen)耐腐(fu)蝕氟(fu)塑料(liao)合金(jin)液下(xia)泵

深(shen)井泵(beng)管路(lu)

管路(lu)附件(jian)
- 離心(xin)泵調(diao)節方(fang)式與(yu)能耗(hao)分析(xi)
- 水環(huan)真空(kong)泵的(de)基本(ben)類型(xing)及其(qi)優缺(que)點
- 渣(zha)漿泵(beng)選型(xing)和計(ji)算公(gong)式
- 水(shui)泵的(de)五種(zhong)故障(zhang)排除(chu)方法(fa)
- 熱泵(beng)和鍋(guo)爐相(xiang)組合(he)熱水(shui)工程(cheng)實現(xian)新的(de)熱水(shui)方案(an)
- 泵的(de)特點(dian)、用途(tu)和工(gong)作條(tiao)件
- 泵(beng)的選(xuan)型步(bu)驟和(he)選用(yong)原則(ze)
- 離心(xin)泵啟(qi)動前(qian)的準(zhun)備工(gong)作及(ji)其注(zhu)意事(shi)項


- 銷售(shou)熱線(xian)
- 圖片(pian)傳真(zhen)
- 技術(shu)支持(chi)
- 電子(zi)郵箱(xiang)








