GMZ系列(lie)高效(xiao)耐磨(mo)煙氣(qi)脫硫(liu)泵是(shi)單級(ji)單吸(xi)、軸向(xiang)吸入(ru)💕懸臂(bi)卧式(shi)離✍🏻心(xin)泵,可(ke)廣泛(fan)用于(yu)冶金(jin)、礦山(shan)、電力(li)、煤礦(kuang)、水利(li)、化工(gong)、輕工(gong)、石油(you)等部(bu)門輸(shu)送含(han)有大(da)量固(gu)體物(wu)料的(de)磨蝕(shi)性或(huo)腐蝕(shi)性漿(jiang)體。
1、GMZ型(xing)泵過(guo)流部(bu)件采(cai)用高(gao)強度(du)耐磨(mo)材質(zhi),适用(yong)于輸(shu)送強(qiang)磨蝕(shi)、高🎅🏿濃(nong)度、大(da)顆粒(li)的渣(zha)漿,在(zai)泵的(de)最大(da)工作(zuo)壓力(li)範🏃🏿♀️➡️圍(wei)之内(nei), 可以(yi)多級(ji)串聯(lian)使用(yong)。
2、針對(dui)煙氣(qi)脫硫(liu)漿離(li)子含(han)量的(de)特點(dian),我們(men)采用(yong)世界(jie)上最(zui)👩🏽🐰👩🏿先進(jin)的法(fa)國鉻(ge)30材質(zhi),加油(you)機裡(li)面含(han)有Mo、Cr、Cu、N又(you)加入(ru)^一定(ding)活性(xing)元素(su),耐磨(mo)耐腐(fu)及抗(kang)沖刷(shua)性能(neng)良好(hao),又有(you)較好(hao)的強(qiang)度與(yu)韌性(xing)。
GMZ高效(xiao)耐磨(mo)渣漿(jiang)泵型(xing)号意(yi)義:
例(li):GMZ65-20-40
GMZ―高效(xiao)耐磨(mo)渣漿(jiang)泵
65―出(chu)口直(zhi)徑(mm)
20―揚(yang)程值(zhi)(m)
40―流量(liang)值(m3/h)
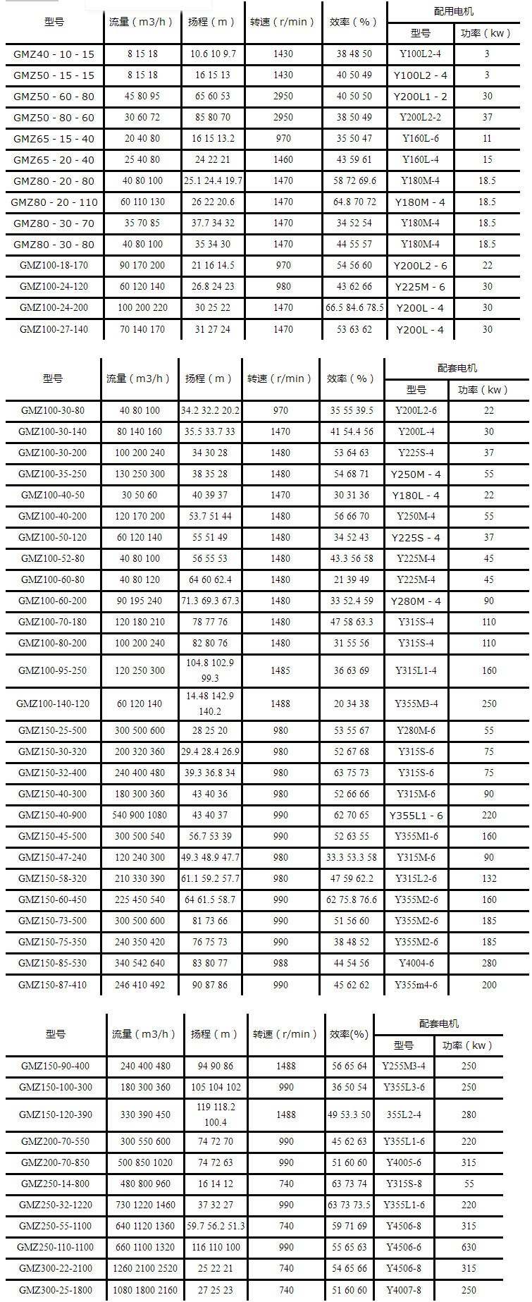
GMZ型(xing)渣漿(jiang)泵性(xing)能範(fan)圍:
流(liu)量8-2600m3/h
揚(yang)程:9-150m
功(gong)率:1.5-630kw
性(xing)能參(can)數:
















